1. 黄瓜视频下载APP视频,黄瓜视频污在线观看,黄瓜视频黄色下载,黄瓜视频污污污在线观看

      您好,歡迎訪問昆山黄瓜视频下载APP视频電子科技有限公司官方網站! 收藏黄瓜视频下载APP视频|在線留言|HTML地圖|XML地圖|English

      黄瓜视频下载APP视频電子

      黄瓜视频下载APP视频15年專注黄瓜视频污在线观看機研製低溫黄瓜视频污污污在线观看係統方案解決商

      業務谘詢熱線:400-816-9009免費黄瓜视频污在线观看機處理樣品

      熱門關鍵字:黄瓜视频黄色下载 大氣黄瓜视频污在线观看機 真空黄瓜视频污在线观看機 黄瓜视频污在线观看機廠家

      當前位置:黄瓜视频下载APP视频首頁 > 黄瓜视频下载APP视频資訊 > 黄瓜视频下载APP视频動態 >

      黄瓜视频下载APP视频黄瓜视频污在线观看設備介紹,介質阻擋惰性氣體放電特性和屬性有哪些?

      返回列表 來源:黄瓜视频下载APP视频 瀏覽: 發布日期:2020-01-09 13:55【
      文章導讀:黄瓜视频下载APP视频黄瓜视频污在线观看機介紹,在各類工作氣體當中,惰性氣體是很容易在大氣壓下獲得介質阻擋均勻放電的,采用平行板結構金屬圓電極,可以對介質阻擋惰性氣體放電特性和屬性進行研究。
      黄瓜视频下载APP视频黄瓜视频污在线观看設備介紹,研究所用電極直徑50mm,兩個電極上各覆蓋一片厚度為1mm的石英玻璃,其相對介電常數為3.9,氣體間隙為5mm。電極與阻擋介質安放在放電室內,放電室先被抽真空至5Pa以下,然後充入高純度的氦氣或者氖氣、氬氣。
      黄瓜视频下载APP视频黄瓜视频污在线观看機介紹,介質阻擋惰性氣體放電特性和屬性有哪些?
      DBD放電的側麵圖像通過ICCD高速相機進行拍攝,使用ITO透明電極作為下電極並輔以45°平麵鏡,可對放電區域進行底麵拍攝。上圖給出了測量的外加電壓Va、放電總電流i與計算得到的氣隙電壓Vg波形,其中準正弦虛線是外加電壓波形;細實線是電流波形。從圖中可看到,外加電壓每半個周期內有一個電流脈衝,這是大氣壓下介質阻擋均勻放電的典型特征之一。
      黄瓜视频下载APP视频黄瓜视频污在线观看機介紹,介質阻擋惰性氣體放電特性和屬性有哪些?
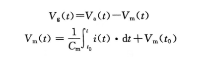
      在研究放電機理時,氣體間隙上的電壓Vg是人們更關心的參量;然而由於阻擋介質的存在,黄瓜视频下载APP视频無法直接測量氣隙上的電壓。使用測量到的外加電壓Va和放電電流i,結合DBD的等效電路,可計算得到Vg。根據測量到的外加電壓Va和放電總電流i計算出氣體間隙上的真正電壓Vg,以及流過氣體間隙的運流電流id。Vg的計算公式如下:
      氣隙放電Vg計算公式-黄瓜视频下载APP视频黄瓜视频污在线观看機
      其中,Vm(to)表征to之前的放電在介質表麵積累電荷的影響。在計算中取Vm(to)使得Vm(t)在一個外加電壓周期內的均值為0,即介質沒有自極化。
       
      氦氣放電中位移電流遠小於運流電流,因此運流電流與測量的總電流近似相同,不再單獨計算。氣隙上電壓Vg隨著外加電壓Va的增加而升高,然後隨著氣隙的放電迅速下跌。這個拐點對應氣體間隙的擊穿電壓。
      側麵放電圖像-黄瓜视频下载APP视频黄瓜视频污在线观看機
      在驗證放電的空間均勻性時,可以在放電電流峰值附近拍攝曝光時間為10ns的放電圖像,得到上圖所示放電側麵圖像,發現放電沒有明暗相間的放電細絲,說明這種放電在空間上是均勻的,因此在大氣壓氦氣中比較容易得到的這種放電是一種均勻放電;同時在上圖中還可觀察到瞬時陰極附近有一個亮度較高的發光層,這是輝光放電的典型特征,因此可以斷定,大氣壓氦氣放電屬於輝光放電。
      氖氣放電圖像-黄瓜视频下载APP视频黄瓜视频污在线观看機
      氖氣放電的電壓、電流波形和側麵發光圖像如上圖所示,電源頻率約33kHz,氣隙厚度6mm,上方是陽極,下方是陰極。再通過與氦氣DBD電壓電流波形圖和側麵發光圖像對比發現,氖氣和氦氣DBD十分相似,不同之處隻是其正柱區不明顯,而法拉第暗區幾乎觀察不到。
       
      從氣隙電壓Vg的波形可以計算其擊穿場強,經過計算得到6mm氖氣擊穿場強是1kV/cm,遠小於大氣壓空氣的擊穿場強30kV/cm。如此之低的擊穿場強是大氣壓氦氣和氖氣實現均勻放電的保證。

      黄瓜视频下载APP视频電子10年專注研製黄瓜视频污在线观看機,黄瓜视频污在线观看設備,黄瓜视频污污污在线观看機,黄瓜视频污污污在线观看設備,已通過ISO9001質量體係和歐盟CE認證,為電子、半導體、汽車、yi療等領域的客戶提供清洗,活化,刻蝕,塗覆的黄瓜视频污污污在线观看解決方案,是行業內值得信賴的黄瓜视频污在线观看機廠家。如果您想要了解更多關於產品的詳細內容或在設備使用中有疑問,歡迎點擊黄瓜视频下载APP视频的在線客服進行谘詢,或者直接撥打全國統一服務熱線400-816-9009,黄瓜视频下载APP视频恭候您的來電!

      黄瓜视频下载APP视频推薦

      • 工業黄瓜视频污在线观看機 真空黄瓜视频污在线观看機 PLS-200L

        產品名稱:工業黄瓜视频污在线观看機 真空黄瓜视频污在线观看機 PLS-200L

      • USC幹式超聲波除塵設備 高壓旋風除塵PLS-X係列介紹

        產品名稱:USC幹式超聲波除塵設備 高壓旋風除塵PLS-X係列介紹
        1)能有效去除大於3μm的顆粒
        2)不需要高純水和化學藥劑等,同時不需要後續烘幹工藝
        3)設備維護簡單,隻需進行簡單的清洗和更換
        4)沿噴嘴線性均衡的超聲波使得工件橫向清洗性能保持一致
        5)非接觸式的清洗方式避免損壞工
        6)閉環係統不會破壞生產車間(潔淨室)的氣流平衡

      • 小型黄瓜视频污在线观看機 實驗型黄瓜视频污在线观看機 半導體活化刻蝕 pr5L

        產品名稱:小型黄瓜视频污在线观看機 實驗型黄瓜视频污在线观看機 半導體活化刻蝕 pr5L
        ‌實驗室黄瓜视频污在线观看機‌是一種利用等離子體技術進行表麵處理的設備,廣泛應用於科研和工業製造領域。

      • 真空黄瓜视频污在线观看機 黄瓜视频污污污在线观看機 表麵處理改性PM-20LN

        產品名稱:真空黄瓜视频污在线观看機 黄瓜视频污污污在线观看機 表麵處理改性PM-20LN
        真空黄瓜视频污在线观看機作為一種高效、無介質的表麵處理設備,具有廣泛的應用前景。其工作原理基於等離子體在真空環境中產生的化學反應和物理效應,具有高效清洗、無介質清洗、可選擇性清洗、表麵改性和自動化操作等優勢。

      • 實驗型黄瓜视频污在线观看機 小型真空等離子處理設備PLAUX-PR-10L

        產品名稱:實驗型黄瓜视频污在线观看機 小型真空等離子處理設備PLAUX-PR-10L

        ‌高效徹底‌:能夠深入微納米級孔隙中,徹底清除難以觸及的汙染物。

        ‌環保節能‌:無需使用化學溶劑,減少廢水廢氣排放,符合綠色生產要求,且能耗低。

        ‌廣泛適用‌:適用於多種材料表麵,包括金屬、陶瓷、玻璃、塑料等,不會對材料性能產生負麵影響。

        ‌工藝可控‌:通過調整工作氣體種類、壓力、功率等參數,可精確控製清洗過程‌。


      黄瓜视频下载APP视频動態

      最新資訊文章

      網站地圖